绍兴市洪达保安服务有限公司欢迎您! 绍兴保安,绍兴保安公司,绍兴保安服务 电话:0575-88261399     |    绍兴保安,绍兴保安公司,绍兴保安服务 手机:13705750906
绍兴保安,绍兴保安公司,绍兴保安服务
绍兴保安,绍兴保安公司,绍兴保安服务
新闻中心
当前位置:首页  >  新闻中心  >  公司新闻
 
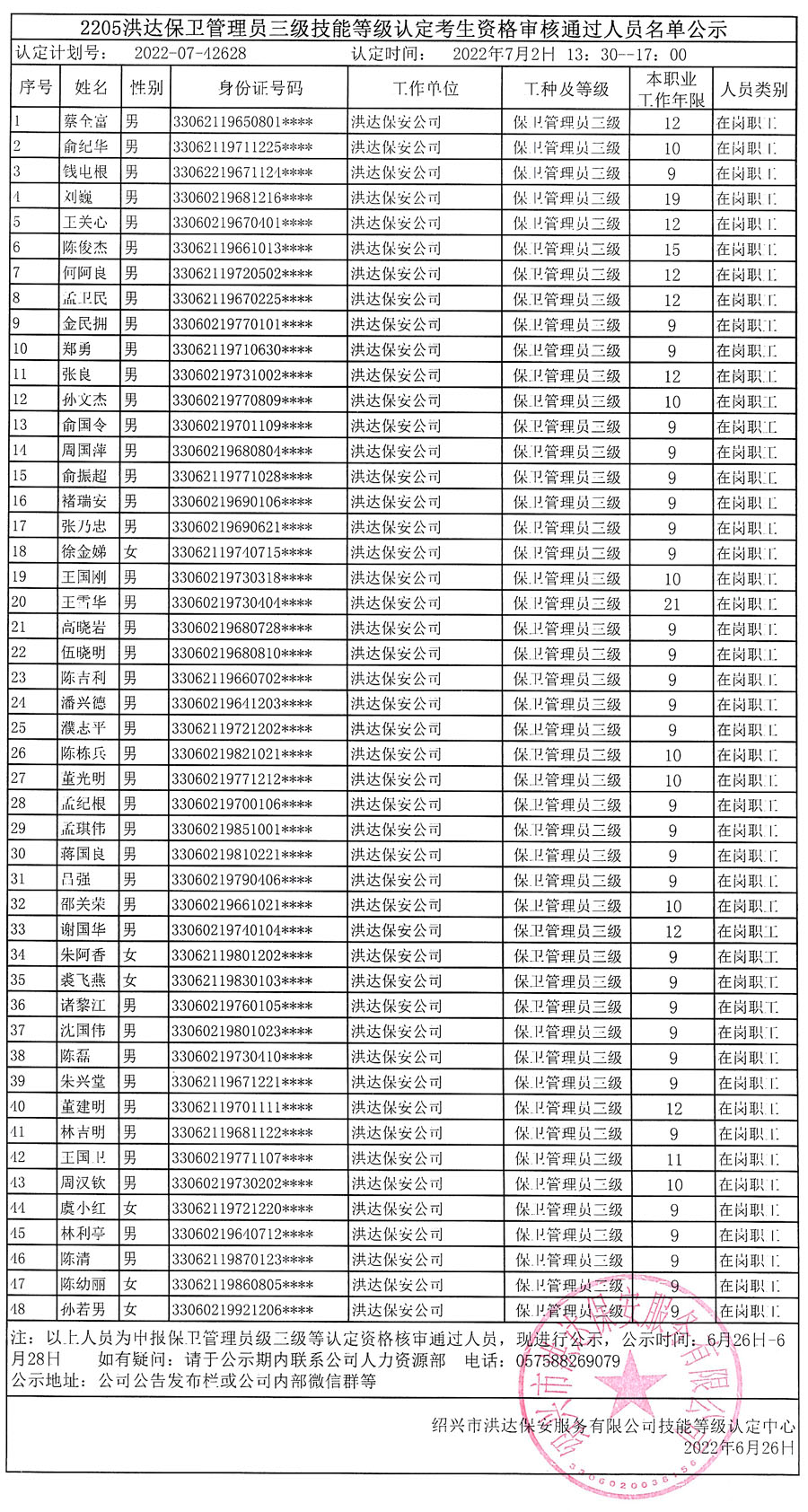
2205期洪达保卫管理员三级技能等级认定考生资格审核通过人员名单公示
发布时间:2022-06-25   点击数:567
[ 返回 ]
 
 最新资讯

关于保安员赵建国成功处置一起初期火灾事故...

2205期洪达保卫管理员三级技能等级认定...

2205期洪达保卫管理员三级技能等级认定...

绍兴市洪达保安服务有限公司召开2019年...

绍兴市洪达保安服务有限公司一届三次职工代...

绍兴市洪达保安公司圆满完成绍兴国际马拉松...

来自绍兴市洪达保安公司保安员的一片温情

绍兴市洪达保安公司驻名人故居项目开展消防...

绍兴市洪达保安服务有限公司助力文明城市建...

绍兴市洪达保安服务有限公司配合绍兴市教育...

绍兴洪达保安公司圆满完成“黄酒之夜音乐节...

绍兴市洪达保安服务有限公司开展年中实操培...

洪达保安公司保安员帮助小区业主寻回失小孩

洪达保安公司圆满完成天地和家装绍兴豪装工...

绍兴市洪达保安公司顺利完成第三十三届兰亭...

绍兴市洪达保安服务有限公司迎检质量管理体...

绍兴市洪达保安服务有限公司举行2016年...

绍兴市洪达保安服务有限公司召开初中学校保...

洪达保安驻绍兴市妇幼保健院保安队举行消防...

绍兴市洪达保安服务有限公司为中国兰亭书法...
 
 
快速导航
绍兴保安  |  公司简介  |  新闻中心  |  服务单位
人力护卫  |  业务范围  |  技防中心  |  培训中心
管理理念  |  洪达门市  |  人才招聘  |  联系我们
联系方式
绍兴市洪达保安服务有限公司
技防部:0575-88269110
业务部:13705750906
人力资源部:0575-85177110
门市部:0575-88262699
培训中心:13575581360
服务监督电话:0575-88269079
联系人:陶先生
电话:0575-88261399
手机:13705750906
传真:0575-88261399
地址:绍兴市霞西路大池坊1号(北海卫生院西侧)
手机网站
绍兴保安,绍兴保安公司,绍兴保安服务
 
Copyright © 2023   绍兴市洪达保安服务有限公司   ALL rights reserved     绍兴保安绍兴保安公司绍兴保安服务